A probability distribution is a function that describes the chances of finding a random variable over a defined range.

Below is the list of some of the most used probability distribution functions.
- Normal(Gaussian) distribution.
- Log-Normal distribution.
- Bernoulli distribution.
- Binomial distribution.
- Poisson distribution.
Today let’s see what are Bernoulli, Binomial and Poisson distribution.
Bernoulli distribution:-
The distribution of random variables which can take up two values, i.e. either success(1) or failure(0) is called a Bernoulli distribution. Some examples are coin flip, whether a patient tested has cancer or not, etc.
Consider we have a random variable X, which follows Bernoulli distribution. It can be denoted as;
X~Ber(p)
The probabilities are given as:-
For success: P(X=1)=p
For failure: P(X=0)=1-p
The standard deviation is given by; Standard Deviation=√[p(1-p)]
Variance is the square of standard deviation and hence Variance=p(1-p)
The expectation for Bernoulli distribution is given as E[X]=p
Binomial distribution:-
A binomial distribution is a distribution of random variables that represent the number of success or failures in ’n’ successive independent trials of a Bernoulli experiment. Examples include coin flips for a particular ’n’ number of times, result whether ’n’ number of patients have hypertension or not.
Thus we can say that binomial distribution is some complex version of Bernoulli distribution.
Suppose X is a random variable following Binomial distribution. It can be denoted as- X~Bin(n,p)
Probability is given as below-

Expectation E[x]=np
Variance is given by var(X)=np(1-p)
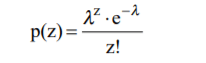
Poisson distribution:-
The Poisson distribution is the special case of binomial distribution where p → 0 and n → ∞.
It is used when we have to express the probability of a given set of event occurs in a fixed time interval or a constant space with a fixed mean rate. In addition to this, the event happening should be independent of the time since the occurrence of the last event.
The probability function is given as;

Expectation E[X]=λ where np → λ as p →0 and n →∞.
Here Standard Deviation=√λ
We will discuss the remaining two probability distribution topic in the upcoming article.
Please share and follow if you liked the content.